Lompat ke konten Lompat ke sidebar Lompat ke footer

KUNCI JAWABAN matematika kelas 11 uji kompetensi 2.1 halaman 50 51 52

Kunci Jawaban Matematika Kelas 11 Buku Siswa Kurikulum 2013 Revisi 2017 Kelas 2 sma smk ma mak kurikulum 2013 edisi revisi 2017 kurikulum 2013 edisi revisi 2018 buku mtk kelas 1 sma mak mts Hallo temen temen selamat datang di blog ilmu edukasi, blog ilmu edukasi berisikan kunci Jawaban buku pelajaran MI SD, SMP, MTS, SMA, SMK, MA, MAK Pasti dapat nilai 100

KUNCI JAWABAN matematika kelas 11 uji kompetensi 2.1 halaman 50 51 52
KUNCI JAWABAN matematika kelas 11 uji kompetensi 2.1 halaman 50 51 52 

KUNCI JAWABAN matematika kelas 11 halaman 13 uji kompetensi 1.1 

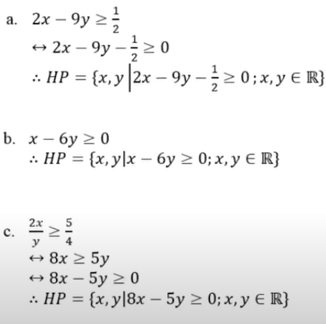
1. tanpa menggambar grafik tentukan himpunan penyelesaian(jika ada) setiap pertidaksaan di bawah ini a. 2z-9y lebih dari 1/2
1. tanpa menggambar grafik tentukan himpunan penyelesaian(jika ada) setiap pertidaksaan di bawah ini a. 2z-9y lebih dari 1/2
Kunci jawaban
1. tanpa menggambar grafik tentukan himpunan penyelesaian(jika ada) setiap pertidaksaan di bawah ini a. 2z-9y lebih dari 1/2
1. tanpa menggambar grafik tentukan himpunan penyelesaian(jika ada) setiap pertidaksaan di bawah ini a. 2z-9y lebih dari 1/2
untuk kelanjtanya bisa temen temen nonton vidio di yt iya 

"NILAI 100✔️ Pembahasan kunci jawaban kelas 11  semua pelajaran. lengkap di link ini iya Kunci jawaban MTK kelas 11 "
Baca juga
Kunci Jawaban Matematika Kelas 11 Bab I Induksi Matematika
Kunci Jawaban Matematika Kelas 11 Bab II Program Linear
Kunci Jawaban Matematika Kelas 11 Bab III Matriks
  • Kunci Jawaban Matematika Kelas 11 Halaman 99, 100, 101, 102
  • Kunci Jawaban Matematika Kelas 11 Halaman 120, 121, 122

    Rangkuman  Matematika kelas 11

     ketika musibah mereka berbuat Syirik tapi dalam kondisi susah mereka bertakwa kepada Allah subhanahuwata'ala di surat al-isra ayat 67 Allah menceritakan kepada orang-orang musyrikin wa-idzaa masa kubur file hel

    p ketika keren ditimpa bala petaka di laut hai ketika perahu yang ditumpangi oleh orang-orang ini diperparah oleh badai dollar mentatto mulailah Iyah kalian lupa semua-semua sekutu kalian lupa mau berhala kalian 

    kalian hanya ingat kepada Allah subhanahuwata'ala Mukhlisin kalian berdoa dan kondisi ikhlas rumah dengan sekutunya tetapi yang terjadi di beberapa tempat ketika lautan makan korban Hai laut selatan move makan kurban ada orang naik perahu tenggelam Apa yang dilakukan oleh orang-orang di sana Hai sesaji Hai mereka melakukan se

    saji lupa hama Allah kalau orang musyrik inilah cerita tuh orang musyrik orang musyrik itu ketika dapat musibah langsung inget gak sama Allah Hai tapi di se

    bagian Kenapa digigit ketika kena musibah ingatnya sama Nyi Roro Kidul mati hateng percaya aja ma temennya Roro Kidul karena percaya kalau itu gini Ya Adzim di lautan bahkan kita tahu namanya markasnya iblis itu di laut sana dan ini termasuk kalau yang melakukan kesyirikan itu memang orang-orang musyrik wajar dan persembahan dia itu hanya untuk jin Hai janji itu senantiasa melakukan seperti itu baca surat izin do dalam Alquran ada surat lamaran Surat Jin supaya kita tahu kerjaannya jitu ngapain warna bukan dari jalur mbelin xiaohu nabi rizali miloji hazards umroh apa sesungguhnya ada sekelompok bangsa manusia yang mereka itu minta perlindungan dari bangsa jin dan jin itu malah membuat mereka ketakutan Hai jin itu kalau dikasih sesajen dibikin apa supaya tetap manusia in takut Hai ini bedanya sama orang-orang musyrikin zaman dulu Oh iya karena merek

    a tahu hai hai Hai Paman Rasul selalu seneng paman Rasulullah SAW telah siapa Namanya Abu Tholib hai kenapa beliau tidak mau mengatakan Lailahaillallah padahal ucapan Lailahaillallah ini sangat mudah sekali apa sulitnya dia orang Arab lahir di Arab ucapan itu biasa dia dengar dari Rasul SAW wassalam tapi ketika dia mau meninggal dunia nabi Alaihi Wasallam mengatakan kepada beliau call ya Om lailahailallah wahai Pamanku tolong kau ucapkan lailahailallah Hai ada Abu Jahal dan Abdullah bin Abi Umayyah di situ dia mengatakan atau ramuan dilatih Abdul Muthalib Apakah engkau benci dengan ajaran

    nya Abdul Muthalib artinya ajaran bapakmu Hai I am dihidupkan itu fanatisme terhadap tradisi ini dikatakan Apakah engkau benci kepada ajaran bapakku Hai ditekan selalu itu kadangkala untuk meninggalkan sebuah ajaran dari dulu nih udah dilakukan Kenapa kita harus tinggalkan ya kalau b

    erseberangan dengan syariat ditinggalkan kalau mbak tasombo diamalkan Islami agamain menerima terbuka Islam itu selama tidak berseberangan dengan syariat Allah subhanahuwata'ala kenapa Abdul Muthalib Abu Thalib tidak mengatakan Lailahaillallah karena dia tahu konsekuensi Lia konsekuensi seorang muslim yang bersyahadat berarti dia berlepas diri dari semua sesembahan sesembahan selain Allah Subhana Utara dia hanya menyembah Allah subhanahuwata'ala dan orang-orang musyrikin sering meledek nabi Alaihi Wasallam ketika nabi berdakwah meletakkan kode ilaha illallah apa kata orang-orang musyrikin aja al-ali Hatta Ilham Wahidah indah adalah khoja 

    Apakah dia ini tidak menjadikan sesembahan sesembahan ini kalau pernikahannya Ma artinya tidak ada yang berpikir aku di mungkin kena musibah di sini orang kalau naik perahu masih adalah takut kapal yang tenggelam itu masih ada rasa takut ya Allah jangan-jangan kapalnya tenggelam itu Tapi kalau lagi pesta pernikahan tahu-tahu ambruk bangunannya atau longsor menimbun itu dalam kondisi dia belum siap untuk Halid kau jaho dan kondisi terang-terangan ada orang yang terang terlihat agak pitu.com alokasi ditanya halyu lakuin welcome Halimun Siapa sih yang sebenarnya d

    ihancurkan sama lem dianggap itu orang-orang zalim aja sedangkan orang-orang beriman nggak bakal pada jamaah ancaman-ancaman untuk menuju mendidih lihat di diri kita diam hati kita semakin takut sama Allah naik Nepal baca doa jangan-jangan nanti ada motor yang yang mabuk orangnya brand kemarin kejadian tabrakan beruntun berapa banyak yang mati ada empat mati 15 luka-luka Apakah mereka berpikir akan mati ketika tabrakan kayaknya hingga bahwa mungkin dia sedang bawah makan malem buat istrinya Dia mungkin sedang membelikan susu buat anak2 dia berangkat dalam kondisi mau pulang jamaah maka Allah katakan hati-hati kalau ada malah itu turun yang dihancur oleh orang-orang yang

     boleh Allah mengatakan Wow nursilul Mursalim I ayat 48 Ayo kita Sampai jam berapa jamaah Hai Girls Hai setelah mencuci wajah justru dijamin size Hai pertanyaan bisa 10-15 atau 10 lewat 10 ini udah lewatin akan 1036 baik Barakallah fikum the steps belum ada JKT48 Hai orang yang dihancurkan mendapatkan adzab adalah orang-orang yang bowling karena Allah tidak mungkin berbuat oleh Hai jangan sampai ketika Antum dapat musibah dapat azab lalu mengatakan kenapa sih aku kok bisa dapet agak pincang atau Wow bibir lalu gila bisa Allah nggak mungkin emboli hamba Imam mahalaya geli lulus sekolah roh awan itu tidak akan membeli nih Walaupun seberat semut kecilnya mungkin Allah membawa Lini Jadi kalau antum kena musibah makan cumi tinta boyman aku kayaknya berbuat dosa Hai asma binti Abu Bakar allahuakbar ya kita lihat wanita-wanita ya

    ng dididik oleh Rasul Shallallahu alaihi wasallam dan para sahabatnya ia tak lagi pusing ia pegang kepalanya ya Allah ini karena dosaku ya Allah ya Allah ini karena dosa Subhanallah sebagian di antara kita merasa sudah baik pakai dapat musibah kayaknya enggak pantes aku kena musibah akunya sedekah aku bangun Mesjid Aku ini aku itu Subhanallah tuh musibah dosa Allah tidak mungkin menghancurkan pilih orang-orang yang bawa lem dan Allah mengatakan Le sabia manikum wadah Amani Alkitab ini bukan angan-angan kalian atau angan-angan ahlu kitab kalau angan-angan kan bisa kita Ponc

    o Allah dosaku selesai Wah hapus ke Allah cuma maha pengasih maha penyayang maha pengampun 6 itu semua benar tapi Allah katakan di media mensual hijabi barangsiapa berbuat salah pasti Allah balas pasti lebih wajib tahu mindunillahi Wali awal anasir maka orang-orang yang beriman akan tenang hidupnya Allah mengatakan alladzina amanu di Surat Al An'am ayat 82 Ya Allah mengatakan alladziina aamanuu wa lam yalbisu Iman humbil much like Allah ular muhtadun orang-orang yang beriman beriman dan tidak mencampuradukkan keimanannya dengan ke-25 tidak berbuat Syirik Bible Mini dengan kabulin Apa sajakah Syirik yang paling besar kembali menuntut mulai kalah umum amwalahum Muhtadin 

    Posting Komentar untuk "KUNCI JAWABAN matematika kelas 11 uji kompetensi 2.1 halaman 50 51 52 "

    Hanya dengan 50.000 dapat blog murah gratis Template Premium
    Hanya dengan 50.000 dapat blog murah gratis Template Premium
    Hanya dengan 50.000 dapat blog murah gratis Template Premium